Chapter 6. Calibration
6.1 The calibration pack
All Güralp sensors are fully calibrated before they leave the factory. Both absolute and relative calibration calculations are carried out. The results are given in the calibration pack supplied with each instrument:
Works Order : The Güralp factory order number including the instrument, used internally to file details of the sensor's manufacture.
Serial Number : The serial number of the instrument
Date : The date the instrument was tested at the factory.
Tested By : The name of the testing engineer.
There follows a table showing important calibration information for he instrument, which shows:
Acceleration Output (Differential) : The sensitivity to acceleration at 1 Hz, in volts per ms-2. Because the CMG-5TD uses a balanced differential output to connect to the digitiser, the signal strength as measured between the +ve and –ve line will be twice the true sensitivity of the instrument. To remind you of this, the sensitivity is given as 2 × (single-ended sensitivity).
Feedback Coil Constant : A constant describing the characteristics of the feedback system. You will need this constant, given in amperes per ms-2, if you want to perform your own calibration calculations (see below.)
Power Consumption : The average power consumption of the sensor during testing, given in amperes and assuming a 12 V supply.
Calibration Resistor : The value of the resistor in the calibration circuit. You will need this value if you want to perform your own calibration calculations (see below.)
6.1.1 Poles and zeroes
Most users of seismometers find it convenient to consider the sensor as a “black box”, which produces an output signal V from a measured input x. So long as the relationship between V and x is known, the details of the internal mechanics and electronics can be disregarded. This relationship, given in terms of the Laplace variable s, takes the form
In this equation,
G is the acceleration output sensitivity (gain constant) of the instrument. This relates the actual output to the desired input over the flat portion of the frequency response.
A is a constant which is evaluated so that A × H (s) is dimensionless and has a value of 1 over the flat portion of the frequency response. In practice, it is possible to design a system transfer function with a very wide-range flat frequency response.
The normalising constant A is calculated at a normalising frequency value fm = 1 Hz, with s = j fm, where j = √–1.
H (s) is the transfer function of the sensor, which can be expressed in factored form:
In this equation, zn are the roots of the numerator polynomial, giving the zeros of the transfer function, and pm are the roots of the denominator polynomial giving the poles of the transfer function.
In the calibration pack, G is the sensitivity given on the first page, whilst the roots zn and pm, together with the normalising factor A, are given in the Poles and Zeros table. The poles and zeros given are measured directly at Güralp Systems' factory using a spectrum analyser.
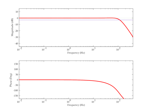
6.1.2 Frequency response curves
The frequency response of the CG-5TD is described in the normalised amplitude and phase plots provided. The response is measured at low and high frequencies in two separate experiments. Each plot marks the low-frequency and high-frequency cut-off values (also known as –3 dB or half-power points).

If you want to repeat the calibration to obtain more precise values at a particular frequency of interest, or to check that a sensor is still functioning correctly, you can inject calibration signals into the system using a Güralp digitizer or your own signal generator, and record the instrument's response.
6.1.3 Obtaining copies of the calibration pack
Our servers keep copies of all calibration data that we send out. In the event that the calibration information becomes separated from the instrument, you can obtain all the information using our free e-mail service. Simply e-mail caldoc@guralp.com with the serial number of the instrument in the subject line, e.g.
From: your@email.net
To: caldoc@guralp.com
Subject: T5215
The server will reply with the calibration documentation in Microsoft Word format. The body of your e-mail will be ignored.
6.2 Calibration methods
Three common calibration techniques are available:
Injecting a step current allows the system response to be determined in the time domain. The amplitude and phase response can then be calculated using a Fourier transform. Because the input signal has predominantly low-frequency components, this method generally gives poor results. However, it is simple enough to be performed daily.
Injecting a sinusoidal current of known amplitude and frequency allows the system response to be determined at a spot frequency. However, before the calibration measurement can be made, the system must be allowed to reach a steady state; for low frequencies, this may take a long time. In addition, several measurements must be made to determine the response over the full frequency spectrum.
Injecting white noise into the calibration coil gives the response of the whole system, which can be measured using a spectrum analyser.
You can perform calibration using the built-in CMG-DM24 digitizer, which can generate step and sinusoidal calibration signals.
6.3 Calibration with Scream!
Calibration is most easily done using a PC running Güralp's Scream! Software. In this section, broadband noise calibration will be used to determine the complete sensor response in one action. Please refer to the CMG-DM24 and Scream manuals for information on other calibration methods.
In Scream!'s main window, right-click on the digitiser's icon and select Control.... Open the Calibration pane.

Select the calibration channel corresponding to the instrument, and choose Broadband Noise. Select a suitable duration and amplitude, and click Inject now. A new data stream, ending Cn (n = 0 – 7) or MB, should appear in Scream!'s main window containing the returned calibration signal.

Open a Waveview window on the calibration signal and the returned streams by selecting them and double-clicking. The streams should display the calibration signal combined with the sensors' own measurements. If you cannot see the calibration signal, zoom into the Waveview using the scaling icons at the top left of the window or the cursor keys.
Drag the calibration stream Cn across the Waveview window, so that it is at the top.
If the returning signal is saturated, retry using a calibration signal with lower amplitude, until the entire curve is visible in the Waveview window.
If you need to scale one, but not another, of the traces, right-click on the trace and select Scale.... You can then type in a suitable scale factor for that trace.
Pause the Waveview window by clicking on the
icon.
Hold down SHIFT and drag across the window to select the calibration signal and the returning component(s). Release the mouse button, keeping SHIFT held down. A menu will pop up. Choose Broadband Noise Calibration.

This runs a script, bbnoisecal, which prompts you for sensor calibration parameters for each component you have selected.

Most data can be found on the calibration sheet for your sensor. Under Instrument response, you should fill in the sensor response code for your sensor, according to the table below. Instrument Type should be set to the model number of the sensor.
If the file calvals.txt exists in the same directory as Scream!'s executable (scream.exe), Scream! will look there for suitable calibration values. A sample calvals.txt is supplied with Scream!, which you can edit to your requirements. Each stream has its own section in the file, headed by the line [instrument-id]. The instrument-id is the string which identifies the digitizer in the left-hand pane, e.g. GURALP-DEMO. It is always 6 characters or fewer (the system identifier) followed by a dash, then 4 characters or fewer (the serial number).
For example:
[DEMO00-4V99]
Serial-Nos=T4V99
VPC=3.153
G=1010
COILCONST=0.02575
CALVPC=3.161
CALRES=51000
TYPE=sensor-type
RESPONSE=response-code
Click
. The script will return with a graph showing the response of the sensor in terms of amplitude and phase plots for each component.

The accuracy of the results depends on both the amount of data you have selected and on its sample rate. To obtain good-quality results at low frequency, it will save computation time to use data collected at a lower sample rate; although the same information is present in higher-rate streams, they also include a large amount of high-frequency data which may not be relevant to your purposes.
The bbnoisecal script automatically performs appropriate averaging to reduce the effects of aliasing and cultural noise.
6.3.1 Sensor response codes
The table below shows the correct value to use in the Instrument response field of the bbnoisecal dialogue, depending on the type of your instrument.
Sensor | Sensor type code | Units (V/A) |
CMG-5TD, DC – 50 Hz response | DC-50 | A |
CMG-5TD, DC – 100 Hz response | CMG-5_100 | A |
CMG-5TD, DC – 200 Hz response | CMG-5_200 | A |